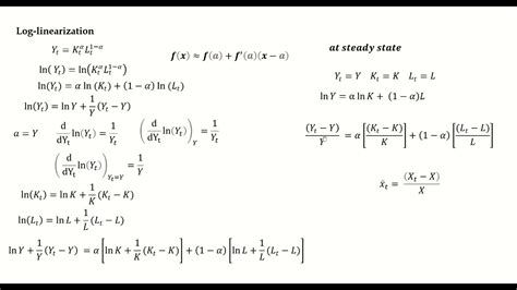
Miranda Lanigan Blog